Linked List - Question 8 Merge Multi-Level Doubly Linked List (Medium)
Linked List - Question 8 Merge Multi-Level Doubly Linked List (Medium)
Question






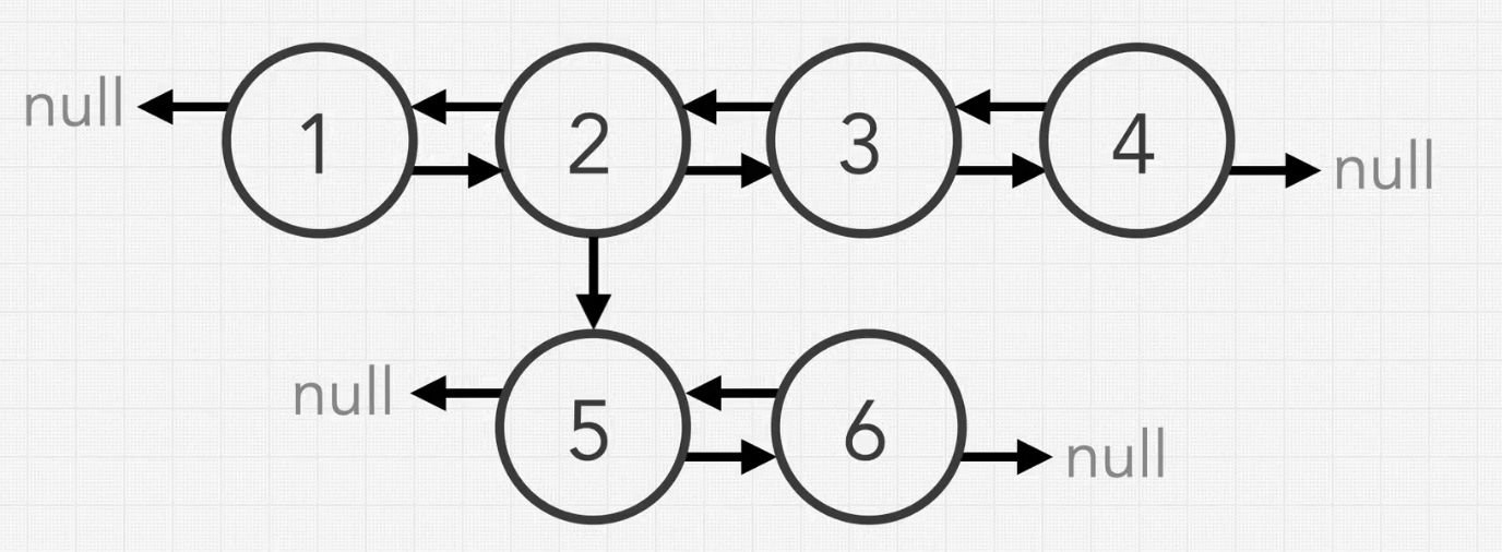
Given a doubly linked list, list nodes also have a child property that can point to a separate doubly linked list. These child lists can also have one or more child doubly linked lists of their own, and so on.
Return the list as a single level flattened doubly linked list.
Verify the constraints
- Can a doubly linked list have multiple child list nodes? - Yes, every list node can have multiple levels of children

- What do we do with child properties after flattening? - Jest set the child property value to null
Write out some test cases
- 1 - 2 - 3 - 4 - 5 - 6 (2 -7 - 8 - 9) (8 - 10 - 11) (5 - 12 - 13) // 1 - 2 - 7 - 8 - 10 - 11 - 9 - 3 - 4 - 5 - 12 - 13 - 6
Figure out a solution without code
Write out our solution in code
Solution 1
function flattenMultiLevelDoublyLinkedList(head){
let currentNode = head;
let spinPointNode = [];
let spinPointNextNode = [];
while(currentNode){
if(currentNode.child !== null){
spinPointNode.push(currentNode); //child로 빠지는 시점의 node를 spinPointNode에 저장
if(currentNode.next !== null){
spinPointNextNode.push(currentNode.next); //child로 빠지는 시점의 node의 다음 노드를 spinPointNextNode에 저장
}
currentNode.next = currentNode.child; //child로 빠질 때 그 다음 노드(next node)와의 연결 끊고 child를 next노드로 만들기
currentNode.child.prev = currentNode; //child의 prev노드를 currentNode로 가리키게 만들기
let child = currentNode.child; //연결 끊기 전에 child를 따로 저장
currentNode.child = null; //child 노드 없애기
currentNode = child; //childNode로 이동
}else{
if(currentNode.next === null){ //노드의 끝 도착
if(spinPointNextNode.length === 0){ //만약 spinPointNextNode 배열에서 뽑을 노드가 더 이상 없으면 break해서 빠져나오기
break;
}
const nextNode = spinPointNextNode.pop(); //그 다음 노드를 저장해둔 spinPointNextNode 배열에서 뽑기
currentNode.next = nextNode; //현재 노드의 다음 노드를 spinPointNextNode 배열에서 뽑은 노드와 연결하기
currentNode.next.prev = currentNode; //다음 노드의 prev노드를 현재 노드를 가리키게 만들기
}
currentNode = currentNode.next; //다음 노드로 이동
}
}
return head;
}
Solution 2
class ListNode {
constructor(val, next = null, prev = null, child = null) {
this.val = val;
this.next = next;
this.prev = prev;
this.child = child;
}
}
// ---- Generate our linked list ----
const nodes = [1, [2, 7, [8, 10, 11], 9], 3, 4, [5, 12, 13], 6]
const buildMultiLevel = function(nodes) {
const head = new ListNode(nodes[0]);
let currentNode = head;
for(let i = 1; i < nodes.length; i++) {
const val = nodes[i];
let nextNode;
if(Array.isArray(val)) {
nextNode = buildMultiLevel(val);
currentNode.child = nextNode;
continue;
}
nextNode = new ListNode(val);
currentNode.next = nextNode;
nextNode.prev = currentNode;
currentNode = nextNode;
}
return head;
}
let multiLinkedList = buildMultiLevel(nodes);
// ---- Generate our linked list ----
const printListMulti = head => {
if(!head) {
return;
}
console.log(head.val)
if(head.child) {
printListMulti(head.child);
}
printListMulti(head.next);
}
const printList = head => {
if(!head) {
return;
}
console.log(head.val);
printList(head.next);
}
// --------- Our solution -----------
var flatten = function (head) {
if (!head) return head;
let currentNode = head;
while (currentNode !== null) {
if (currentNode.child === null) {
currentNode = currentNode.next;
} else {
let tail = currentNode.child;
while (tail.next !== null) {
tail = tail.next;
}
tail.next = currentNode.next;
if (tail.next !== null) {
tail.next.prev = tail;
}
currentNode.next = currentNode.child;
currentNode.next.prev = currentNode;
currentNode.child = null;
}
}
return head;
};
printListMulti(multiLinkedList);
console.log('after flatten');
printList(flatten(multiLinkedList));
Analyze Space and Time Complexity
- Solution 1
- Time Complexity: O(N)
- Space Complexity: O(N)
- Solution 2
- Time Complexity: O(N)
- Space Complexity: O(1)
Developing References
Developing Report
2025-01-24 - Linked List - Question 8 Merge Multi-Level Doubly Linked List (Medium) Report
2025-01-24 - Developing Daily Report
2025-01-4th - Developing Weekly Report